A Porto Vivo, SRU - Sociedade de Reabilitação Urbana do Porto, E.M., S.A., com sede na Rua Mouzinho da Silveira, n.º 208 a 214, 4050-417 Porto, torna público a abertura de um procedimento para colocação no mercado de arrendamento a rendas acessíveis de 23 (vinte e três) habitações da gestão da Porto Vivo, SRU, bem como de 12 (doze) habitações, no âmbito do Programa Municipal “Porto com Sentido”, situadas no Centro Histórico, em Lordelo do Ouro e Massarelos, em Campanhã, em Ramalde e em Paranhos.
1. Localização, tipologias, áreas, rendas e estado das habitações:
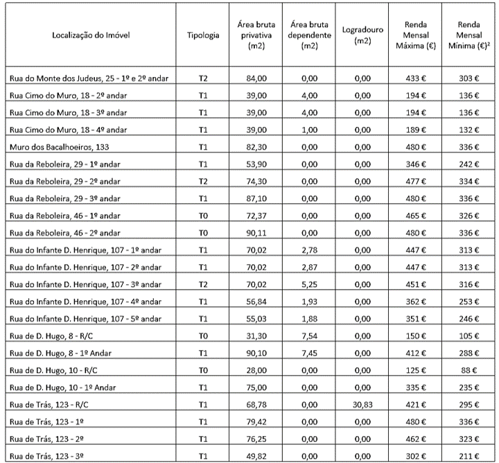
QUADRO I
IMÓVEIS MUNICIPAIS SOB A GESTÃO DA PORTO VIVO [1]

QUADRO II
IMÓVEIS DO PROGRAMA MUNICIPAL PORTO COM SENTIDO

2. Consulta das Condições para Atribuição de Habitações para Arrendamento e Subarrendamento a Rendas Acessíveis:
Pode consultar aqui as condições para atribuição de habitações ou presencialmente na sede na Rua Mouzinho da Silveira, n.º 208 a 214, 4050-417 Porto.
3. Apresentação das candidaturas:
Todas as candidaturas a sorteio foram submetidas por formulário eletrónico disponível em: https://arrendamentoacessivel.portovivosru.pt/pt/imoveis e no site de Porto Vivo, SRU (http://www.portovivosru.pt/) admitindo-se, contudo, a apresentação presencial nas instalações da Porto Vivo, SRU, desde que, previamente agendada.
4. Período para a entrega das candidaturas:
O período para a apresentação das candidaturas decorreu entre as 00h00 do dia 28/06/2021 e as 24h00 do dia 09/07/2021.
5. Esclarecimento de dúvidas:
Durante o período de candidatura, as dúvidas puderam ser esclarecidas por chat disponível em https://arrendamentoacessivel.portovivosru.pt/pt/imoveis.
6. Identificação da composição do júri:
O júri do presente sorteio é constituído por:
- Presidente: Eduarda Baptista, Engª.
- Vogal: Manuel Araújo, Dr.
- Vogal: Nuno Poças Martins, Dr.
- Suplente: Iolanda Coelho, Eng.ª
- Suplente: Fernando Guedes, Eng.º
7. Critério de qualificação das candidaturas:
Nos termos do disposto no número 1 do art.º 7 das condições mencionadas no ponto 2, constitui critério de qualificação das candidaturas para efeitos de sorteio, o facto do candidato ter residência efetiva no concelho do Porto há, pelo menos, quatro anos, ou o facto de um dos membros do agregado do candidato exercer atividade profissional no concelho do Porto há, pelo menos, 6 meses, associado ao critério de garantia de habitação a cidadãos portadores de deficiência.
8. Ordenação dos candidatos para a lista preliminar:
As candidaturas foram ordenadas nos termos do disposto nos números 1 e 2 do art.º 14 das condições referidas no ponto 2.
Assim, as candidaturas serão ordenadas para sorteio, em lista única, de acordo com a pontuação obtida, tendo em consideração o critério de preferência ambiental, associado ao critério de garantia de habitação a cidadãos portadores de deficiência, segundo a seguinte fórmula:
P = (0,90 x A + 0,10 x D) x 100
Em que:
A = 1, se o candidato tem residência efetiva no concelho do Porto há, pelo menos, quatro anos, ou se, pelo menos, um membro do agregado candidato trabalha ou exerce atividade no concelho do Porto há, pelo menos, 6 meses.
A = 0, caso contrário.
D = 1, se existir um ou mais elementos do agregado familiar portador de deficiência.
D = 0, caso contrário.
9. Publicação da lista preliminar dos candidatos admitidos e não admitidos:
Nos termos do disposto no número 7 do art.º 14 das condições, o Júri do concurso elaborou uma lista preliminar com o número de registo das candidaturas admitidas a sorteio.
A lista preliminar foi afixada na sede da Porto Vivo, SRU e aqui:
Grupo I - Lista dos candidatos não admitidos;
Grupo II - Lista de ordenação dos candidatos admitidos;
Grupo III - Lista dos candidatos admitidos a sorteio.
10. Prazo para as reclamações
Os candidatos puderam reclamar de eventuais erros e omissões, através do preenchimento do requerimento constante do Anexo III das condições mencionadas no ponto 2, a submeter por e-mail para rendasacessiveis@portovivosru.pt, no prazo de três (3) dias úteis a contar da data de publicação da lista preliminar.
11. Publicação da lista final:
Após a análise de todas as reclamações a lista final dos candidatos selecionados para o sorteio foi afixada na sede da Porto Vivo, SRU e aqui:
Grupo I - Lista dos candidatos não admitidos;
Grupo II - Lista de ordenação dos candidatos admitidos;
Grupo III - Lista dos candidatos admitidos a sorteio.
12. Sorteio
Aquando da divulgação da lista final foi dada a indicação do dia e hora da realização do sorteio.
13. Publicitação do resultado do sorteio
A lista com o resultado do sorteio está disponível, para consulta, na sede da Porto Vivo, SRU e no site http://www.portovivosru.pt/ e https://arrendamentoacessivel.portovivosru.pt/pt/resultado-sorteio/rendas-acessiveis
